www.VerhaftetDiePolitiker.de
www.VerhaftetDiePolitiker.de

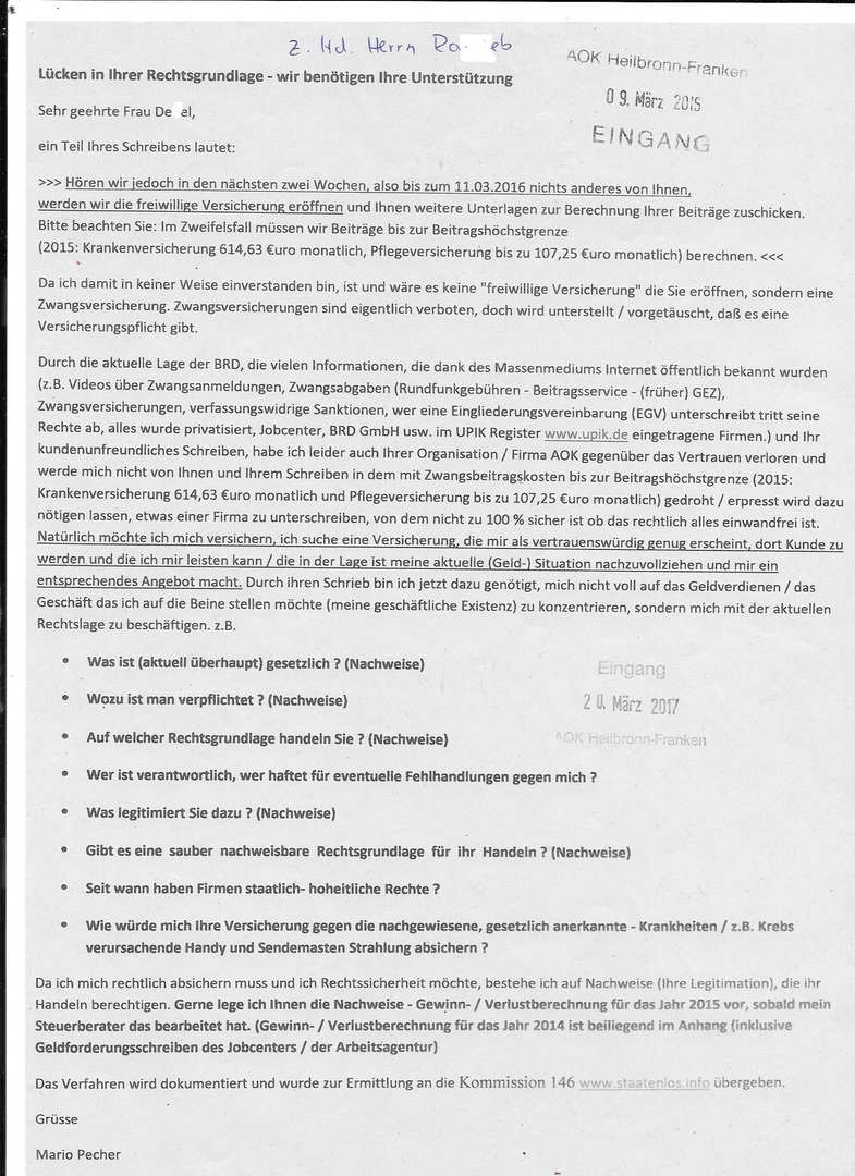
Existenzangt"Stress" erzeugende Schreiben..

Beweismaterialsammlung...

Waren diese Schreiben das Todesurteil für die Existenz des scheinbar ca. 29 Jahre lang zuverlässigen, selbstständigen Dachdeckermeister Rudolf Pecher - "Rudi" ?

 

"Mittlerweile bin ich 29 Jahre lang mit meinem Dachdeckerbetrieb selbstständig, habe etliche Jahre sogar 15 - 19 Mitarbeiter beschäftigt.."

 

Druckversion | Sitemap
© VerhaftetDiePolitiker.de